【テスト】ITの基礎知識|ITパスポート・基本情報

基本情報技術者 平成20年春 問6

2017.09.13

方程式f (x )=0の解の近似値を求めるアルゴリズムとして知られるニュートン法に関する記述として、適切なものはどれか。

  • ア: y =f (x )の接線を利用して解の近似値を求めるものである。
  • イ: 関数f (x )が解の付近で微分不可能であっても、解の近似値を求めることができる。
  • ウ: 異なる初期値を二つ与える必要がある。
  • エ: どのような初期値を与えても、必ず解の近似値が得られる。

Show answer

正解: ア

解説:

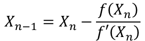
・ニュートン法
方程式を数値計算によって解くための方法で、計算を繰り返して行うことで解を求める反復法です。
(X)の結果が0に近くなる、X0を見つけ、その方程式の曲線上の点(X0(X0))を通る接線とx軸との交点をX1として、次にX1の接線からX2を求め、次にX2からX3と解いていくことで、(Xn)=0となるXnを見つける方法で、Xn+1は次の式によって表すことができます。